Code
import tensorflow as tf
import numpy as np
import pandas as pd
import matplotlib.pyplot as plt
plt.rcParams['figure.figsize'] = (8, 8)kakamana
April 6, 2023
You have trained a great deal of models in the previous chapters. As your models are trained, you will learn how to interpret learning curves. Additionally, you will be able to visualize the effects of activation functions, batch sizes, and batch normalization. Finally, you will learn how to use Sklearn to optimize your Keras models automatically..
This Improving Your Model Performance is part of [Datacamp course: Introduction to Deep Learning with Keras] There is no denying that deep learning is here to stay! A powerful innovation tool, it is used to solve complex problems arising from unstructured data. It is among the frameworks that make it easier to develop deep learning models, and it is versatile enough to build industry-ready models quickly. In this course, you will learn regression and save the earth by predicting asteroid trajectory, apply binary classification to distinguish real and fake dollar bills, learn to apply multiclass classification to decide who threw which dart at a dart board, and use neural networks to reconstruct noisy images. Additionally, you will learn how to tune your models to enhance their performance during training.
This is my learning experience of data science through DataCamp. These repository contributions are part of my learning journey through my graduate program masters of applied data sciences (MADS) at University Of Michigan, DeepLearning.AI, Coursera & DataCamp. You can find my similar articles & more stories at my medium & LinkedIn profile. I am available at kaggle & github blogs & github repos. Thank you for your motivation, support & valuable feedback.
These include projects, coursework & notebook which I learned through my data science journey. They are created for reproducible & future reference purpose only. All source code, slides or screenshot are intellactual property of respective content authors. If you find these contents beneficial, kindly consider learning subscription from DeepLearning.AI Subscription, Coursera, DataCamp

You’re going to build a model on the digits dataset, a sample dataset that comes pre-loaded with scikit learn. The digits dataset consist of 8×8 pixel handwritten digits from 0 to 9
You want to distinguish between each of the 10 possible digits given an image, so we are dealing with multi-class classification.
The dataset has already been partitioned into X_train, y_train, X_test, and y_test using 30% of the data as testing data. The labels are one-hot encoded vectors, so you don’t need to use Keras to_categorical() function.
Let’s build this new model!
from tensorflow.keras import Sequential
from tensorflow.keras.layers import Dense
# Initialize a Sequential model
model = Sequential()
# Input and hidden layer with input_shape, 16 neurons, and relu
model.add(Dense(16, input_shape=(64, ), activation='relu'))
# Output layer with 10 neurons (one per digit) and softmax
model.add(Dense(10, activation='softmax'))
# Compile your model
model.compile(optimizer='adam', loss='categorical_crossentropy', metrics=['accuracy'])
# Test if your model is well assembled by predicting before training
print(model.predict(X_train))
print("\nPredicting on training data inputs before training can help you quickly check that your model works as expected.")40/40 [==============================] - 0s 1ms/step
[[8.2128480e-07 2.3567786e-08 9.7470403e-01 ... 4.5982665e-06
9.2875915e-08 8.6340833e-08]
[5.7933591e-09 1.6378288e-05 9.6651143e-01 ... 3.1482862e-06
1.5983840e-08 4.2088843e-08]
[2.8876784e-06 1.5188913e-06 1.4295599e-01 ... 4.0963907e-03
4.5322522e-05 5.7784151e-03]
...
[1.1927727e-07 3.0603503e-06 6.8655521e-01 ... 1.9696778e-04
1.3367448e-06 1.1101273e-05]
[1.2452453e-07 1.7007787e-06 1.6920099e-01 ... 2.2053241e-03
1.5977172e-06 1.9837904e-04]
[3.1455049e-05 3.1653917e-04 6.9911456e-01 ... 3.8305555e-02
7.8103389e-04 1.9169508e-02]]
Predicting on training data inputs before training can help you quickly check that your model works as expected.
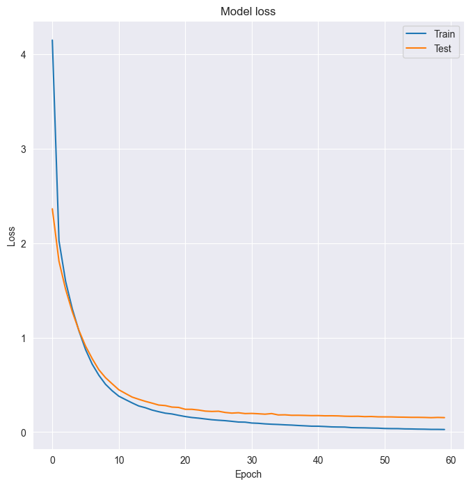
Let’s train the model you just built and plot its learning curve to check out if it’s overfitting!

This graph doesn't show overfitting but convergence. It looks like your model has learned all it could from the data and it no longer improves. The test loss, although higher than the training loss, is not getting worse, so we aren't overfitting to the training data.
It’s time to check whether the digits dataset model you built benefits from more training examples!
In order to keep code to a minimum, various things are already initialized and ready to use:
The model you just built. X_train,y_train,X_test, and y_test. The initial_weights of your model, saved after using model.get_weights(). A pre-defined list of training sizes: training_sizes. A pre-defined early stopping callback monitoring loss: early_stop. Two empty lists to store the evaluation results: train_accs and test_accs. Train your model on the different training sizes and evaluate the results on X_test. End by plotting the results with plot_results().
def plot_results(train_accs,test_accs):
plt.plot(training_sizes, train_accs, 'o-', label="Training Accuracy");
plt.plot(training_sizes, test_accs, 'o-', label="Test Accuracy");
plt.title('Accuracy vs Number of training samples');
plt.xlabel('# of training samples');
plt.ylabel('Accuracy');
plt.legend(loc="best");from tensorflow.keras.callbacks import EarlyStopping
early_stop = EarlyStopping(monitor='loss', patience=1)
train_accs, test_accs = [], []
training_sizes = [125, 502, 879, 1255]
for size in training_sizes:
# Get a fraction of training data (we only care about the training data)
X_train_frac, y_train_frac = X_train[:size], y_train[:size]
# Reset the model to the initial weights and train it on the new training data fraction
model.set_weights(initial_weights)
model.fit(X_train_frac, y_train_frac, epochs=50, callbacks=[early_stop])
# Evaluate and store both: the training data fraction and the complete test set results
train_accs.append(model.evaluate(X_train_frac, y_train_frac)[1])
test_accs.append(model.evaluate(X_test, y_test)[1])
# Plot train vs test accuracies
plot_results(train_accs, test_accs)Epoch 1/50
4/4 [==============================] - 0s 15ms/step - loss: 0.0180 - accuracy: 1.0000
Epoch 2/50
4/4 [==============================] - 0s 8ms/step - loss: 0.0175 - accuracy: 1.0000
Epoch 3/50
4/4 [==============================] - 0s 8ms/step - loss: 0.0166 - accuracy: 1.0000
Epoch 4/50
4/4 [==============================] - 0s 8ms/step - loss: 0.0156 - accuracy: 1.0000
Epoch 5/50
4/4 [==============================] - 0s 8ms/step - loss: 0.0150 - accuracy: 1.0000
Epoch 6/50
4/4 [==============================] - 0s 8ms/step - loss: 0.0143 - accuracy: 1.0000
Epoch 7/50
4/4 [==============================] - 0s 8ms/step - loss: 0.0132 - accuracy: 1.0000
Epoch 8/50
4/4 [==============================] - 0s 8ms/step - loss: 0.0125 - accuracy: 1.0000
Epoch 9/50
4/4 [==============================] - 0s 8ms/step - loss: 0.0120 - accuracy: 1.0000
Epoch 10/50
4/4 [==============================] - 0s 7ms/step - loss: 0.0114 - accuracy: 1.0000
Epoch 11/50
4/4 [==============================] - 0s 7ms/step - loss: 0.0109 - accuracy: 1.0000
Epoch 12/50
4/4 [==============================] - 0s 7ms/step - loss: 0.0106 - accuracy: 1.0000
Epoch 13/50
4/4 [==============================] - 0s 7ms/step - loss: 0.0101 - accuracy: 1.0000
Epoch 14/50
4/4 [==============================] - 0s 7ms/step - loss: 0.0098 - accuracy: 1.0000
Epoch 15/50
4/4 [==============================] - 0s 8ms/step - loss: 0.0094 - accuracy: 1.0000
Epoch 16/50
4/4 [==============================] - 0s 7ms/step - loss: 0.0092 - accuracy: 1.0000
Epoch 17/50
4/4 [==============================] - 0s 8ms/step - loss: 0.0089 - accuracy: 1.0000
Epoch 18/50
4/4 [==============================] - 0s 8ms/step - loss: 0.0087 - accuracy: 1.0000
Epoch 19/50
4/4 [==============================] - 0s 7ms/step - loss: 0.0084 - accuracy: 1.0000
Epoch 20/50
4/4 [==============================] - 0s 8ms/step - loss: 0.0082 - accuracy: 1.0000
Epoch 21/50
4/4 [==============================] - 0s 8ms/step - loss: 0.0080 - accuracy: 1.0000
Epoch 22/50
4/4 [==============================] - 0s 7ms/step - loss: 0.0077 - accuracy: 1.0000
Epoch 23/50
4/4 [==============================] - 0s 7ms/step - loss: 0.0075 - accuracy: 1.0000
Epoch 24/50
4/4 [==============================] - 0s 8ms/step - loss: 0.0074 - accuracy: 1.0000
Epoch 25/50
4/4 [==============================] - 0s 7ms/step - loss: 0.0072 - accuracy: 1.0000
Epoch 26/50
4/4 [==============================] - 0s 8ms/step - loss: 0.0071 - accuracy: 1.0000
Epoch 27/50
4/4 [==============================] - 0s 8ms/step - loss: 0.0069 - accuracy: 1.0000
Epoch 28/50
4/4 [==============================] - 0s 7ms/step - loss: 0.0068 - accuracy: 1.0000
Epoch 29/50
4/4 [==============================] - 0s 8ms/step - loss: 0.0066 - accuracy: 1.0000
Epoch 30/50
4/4 [==============================] - 0s 7ms/step - loss: 0.0065 - accuracy: 1.0000
Epoch 31/50
4/4 [==============================] - 0s 7ms/step - loss: 0.0064 - accuracy: 1.0000
Epoch 32/50
4/4 [==============================] - 0s 7ms/step - loss: 0.0063 - accuracy: 1.0000
Epoch 33/50
4/4 [==============================] - 0s 7ms/step - loss: 0.0061 - accuracy: 1.0000
Epoch 34/50
4/4 [==============================] - 0s 7ms/step - loss: 0.0061 - accuracy: 1.0000
Epoch 35/50
4/4 [==============================] - 0s 7ms/step - loss: 0.0059 - accuracy: 1.0000
Epoch 36/50
4/4 [==============================] - 0s 8ms/step - loss: 0.0059 - accuracy: 1.0000
Epoch 37/50
4/4 [==============================] - 0s 7ms/step - loss: 0.0058 - accuracy: 1.0000
Epoch 38/50
4/4 [==============================] - 0s 8ms/step - loss: 0.0057 - accuracy: 1.0000
Epoch 39/50
4/4 [==============================] - 0s 7ms/step - loss: 0.0056 - accuracy: 1.0000
Epoch 40/50
4/4 [==============================] - 0s 8ms/step - loss: 0.0055 - accuracy: 1.0000
Epoch 41/50
4/4 [==============================] - 0s 8ms/step - loss: 0.0054 - accuracy: 1.0000
Epoch 42/50
4/4 [==============================] - 0s 7ms/step - loss: 0.0053 - accuracy: 1.0000
Epoch 43/50
4/4 [==============================] - 0s 7ms/step - loss: 0.0052 - accuracy: 1.0000
Epoch 44/50
4/4 [==============================] - 0s 7ms/step - loss: 0.0052 - accuracy: 1.0000
Epoch 45/50
4/4 [==============================] - 0s 7ms/step - loss: 0.0051 - accuracy: 1.0000
Epoch 46/50
4/4 [==============================] - 0s 7ms/step - loss: 0.0050 - accuracy: 1.0000
Epoch 47/50
4/4 [==============================] - 0s 8ms/step - loss: 0.0049 - accuracy: 1.0000
Epoch 48/50
4/4 [==============================] - 0s 7ms/step - loss: 0.0049 - accuracy: 1.0000
Epoch 49/50
4/4 [==============================] - 0s 7ms/step - loss: 0.0048 - accuracy: 1.0000
Epoch 50/50
4/4 [==============================] - 0s 7ms/step - loss: 0.0047 - accuracy: 1.0000
4/4 [==============================] - 0s 9ms/step - loss: 0.0047 - accuracy: 1.0000
17/17 [==============================] - 0s 6ms/step - loss: 0.1543 - accuracy: 0.9537
Epoch 1/50
16/16 [==============================] - 0s 8ms/step - loss: 0.0284 - accuracy: 0.9980
Epoch 2/50
16/16 [==============================] - 0s 7ms/step - loss: 0.0271 - accuracy: 0.9980
Epoch 3/50
16/16 [==============================] - 0s 7ms/step - loss: 0.0251 - accuracy: 0.9980
Epoch 4/50
16/16 [==============================] - 0s 7ms/step - loss: 0.0223 - accuracy: 0.9980
Epoch 5/50
16/16 [==============================] - 0s 7ms/step - loss: 0.0225 - accuracy: 0.9980
16/16 [==============================] - 0s 6ms/step - loss: 0.0203 - accuracy: 0.9980
17/17 [==============================] - 0s 6ms/step - loss: 0.1554 - accuracy: 0.9537
Epoch 1/50
28/28 [==============================] - 0s 14ms/step - loss: 0.0282 - accuracy: 0.9954
Epoch 2/50
28/28 [==============================] - 0s 7ms/step - loss: 0.0274 - accuracy: 0.9966
Epoch 3/50
28/28 [==============================] - 0s 7ms/step - loss: 0.0252 - accuracy: 0.9966
Epoch 4/50
28/28 [==============================] - 0s 7ms/step - loss: 0.0235 - accuracy: 0.9966
Epoch 5/50
28/28 [==============================] - 0s 7ms/step - loss: 0.0223 - accuracy: 0.9977
Epoch 6/50
28/28 [==============================] - 0s 7ms/step - loss: 0.0214 - accuracy: 0.9977
Epoch 7/50
28/28 [==============================] - 0s 7ms/step - loss: 0.0213 - accuracy: 0.9977
Epoch 8/50
28/28 [==============================] - 0s 7ms/step - loss: 0.0195 - accuracy: 0.9989
Epoch 9/50
28/28 [==============================] - 0s 7ms/step - loss: 0.0189 - accuracy: 0.9977
Epoch 10/50
28/28 [==============================] - 0s 7ms/step - loss: 0.0178 - accuracy: 0.9977
Epoch 11/50
28/28 [==============================] - 0s 7ms/step - loss: 0.0174 - accuracy: 0.9989
Epoch 12/50
28/28 [==============================] - 0s 7ms/step - loss: 0.0170 - accuracy: 0.9989
Epoch 13/50
28/28 [==============================] - 0s 7ms/step - loss: 0.0164 - accuracy: 0.9989
Epoch 14/50
28/28 [==============================] - 0s 7ms/step - loss: 0.0157 - accuracy: 0.9989
Epoch 15/50
28/28 [==============================] - 0s 7ms/step - loss: 0.0153 - accuracy: 0.9989
Epoch 16/50
28/28 [==============================] - 0s 7ms/step - loss: 0.0146 - accuracy: 0.9989
Epoch 17/50
28/28 [==============================] - 0s 7ms/step - loss: 0.0139 - accuracy: 0.9989
Epoch 18/50
28/28 [==============================] - 0s 7ms/step - loss: 0.0137 - accuracy: 0.9989
Epoch 19/50
28/28 [==============================] - 0s 7ms/step - loss: 0.0130 - accuracy: 0.9989
Epoch 20/50
28/28 [==============================] - 0s 7ms/step - loss: 0.0127 - accuracy: 0.9989
Epoch 21/50
28/28 [==============================] - 0s 7ms/step - loss: 0.0124 - accuracy: 1.0000
Epoch 22/50
28/28 [==============================] - 0s 7ms/step - loss: 0.0116 - accuracy: 0.9989
Epoch 23/50
28/28 [==============================] - 0s 7ms/step - loss: 0.0114 - accuracy: 0.9989
Epoch 24/50
28/28 [==============================] - 0s 7ms/step - loss: 0.0107 - accuracy: 0.9989
Epoch 25/50
28/28 [==============================] - 0s 7ms/step - loss: 0.0104 - accuracy: 0.9989
Epoch 26/50
28/28 [==============================] - 0s 7ms/step - loss: 0.0101 - accuracy: 0.9989
Epoch 27/50
28/28 [==============================] - 0s 7ms/step - loss: 0.0099 - accuracy: 0.9989
Epoch 28/50
28/28 [==============================] - 0s 7ms/step - loss: 0.0095 - accuracy: 0.9989
Epoch 29/50
28/28 [==============================] - 0s 7ms/step - loss: 0.0091 - accuracy: 0.9989
Epoch 30/50
28/28 [==============================] - 0s 7ms/step - loss: 0.0087 - accuracy: 1.0000
Epoch 31/50
28/28 [==============================] - 0s 7ms/step - loss: 0.0086 - accuracy: 1.0000
Epoch 32/50
28/28 [==============================] - 0s 7ms/step - loss: 0.0082 - accuracy: 1.0000
Epoch 33/50
28/28 [==============================] - 0s 7ms/step - loss: 0.0080 - accuracy: 1.0000
Epoch 34/50
28/28 [==============================] - 0s 7ms/step - loss: 0.0080 - accuracy: 1.0000
28/28 [==============================] - 0s 7ms/step - loss: 0.0073 - accuracy: 1.0000
17/17 [==============================] - 0s 6ms/step - loss: 0.1389 - accuracy: 0.9648
Epoch 1/50
40/40 [==============================] - 1s 13ms/step - loss: 0.0268 - accuracy: 0.9968
Epoch 2/50
40/40 [==============================] - 0s 7ms/step - loss: 0.0284 - accuracy: 0.9960
40/40 [==============================] - 0s 6ms/step - loss: 0.0235 - accuracy: 0.9968
17/17 [==============================] - 0s 6ms/step - loss: 0.1517 - accuracy: 0.9630

The results shows that your model would not benefit a lot from more training data, since the test set accuracy is already starting to flatten. It's time to look at activation funtions

| sensor_0 | sensor_1 | sensor_2 | sensor_3 | sensor_4 | sensor_5 | sensor_6 | sensor_7 | sensor_8 | sensor_9 | ... | sensor_13 | sensor_14 | sensor_15 | sensor_16 | sensor_17 | sensor_18 | sensor_19 | parcel_0 | parcel_1 | parcel_2 | |
|---|---|---|---|---|---|---|---|---|---|---|---|---|---|---|---|---|---|---|---|---|---|
| 0 | 1.0 | 2.0 | 1.0 | 7.0 | 0.0 | 1.0 | 1.0 | 4.0 | 0.0 | 3.0 | ... | 8.0 | 1.0 | 0.0 | 2.0 | 1.0 | 9.0 | 2.0 | 0 | 1 | 0 |
| 1 | 5.0 | 1.0 | 3.0 | 5.0 | 2.0 | 2.0 | 1.0 | 2.0 | 3.0 | 1.0 | ... | 4.0 | 5.0 | 5.0 | 2.0 | 2.0 | 2.0 | 7.0 | 0 | 0 | 0 |
| 2 | 3.0 | 1.0 | 4.0 | 3.0 | 4.0 | 0.0 | 1.0 | 6.0 | 0.0 | 2.0 | ... | 3.0 | 3.0 | 1.0 | 0.0 | 3.0 | 1.0 | 0.0 | 1 | 1 | 0 |
| 3 | 2.0 | 2.0 | 4.0 | 3.0 | 5.0 | 0.0 | 3.0 | 2.0 | 2.0 | 5.0 | ... | 4.0 | 1.0 | 1.0 | 4.0 | 1.0 | 3.0 | 2.0 | 0 | 0 | 0 |
| 4 | 4.0 | 3.0 | 3.0 | 2.0 | 5.0 | 1.0 | 3.0 | 1.0 | 1.0 | 2.0 | ... | 1.0 | 3.0 | 2.0 | 2.0 | 1.0 | 1.0 | 0.0 | 1 | 1 | 0 |
5 rows × 23 columns
np.random.seed(1)
# Return a new model with the given activation
def get_model(act_function):
model = Sequential()
if act_function == 'leaky_relu':
model.add(Dense(64, input_shape=(20, ), activation=tf.nn.leaky_relu))
else:
model.add(Dense(64, input_shape=(20, ), activation=act_function))
# Add an output layer of 3 neurons with sigmoid activation
model.add(Dense(3, activation='sigmoid'))
# Compile your model with binary crossentropy loss
model.compile(optimizer='adam',
loss='binary_crossentropy',
metrics=['accuracy'])
return modelactivations = ['relu', 'leaky_relu', 'sigmoid', 'tanh']
# Loop over the activation functions
activation_results = {}
for act in activations:
# Get a new model with the current activation
model = get_model(act)
# Fit the model and store the history results
h_callback = model.fit(X_train, y_train, epochs=100, validation_data=(X_test, y_test), verbose=0)
activation_results[act] = h_callback
print('Finishing with {}...'.format(act))Finishing with relu...
Finishing with leaky_relu...
Finishing with sigmoid...
Finishing with tanh...
For every h_callback of each activation function in activation_results:
The h_callback.history[‘val_loss’] has been extracted. The h_callback.history[‘val_acc’] has been extracted.


You've plotted both: loss and accuracy curves. It looks like sigmoid activation worked best for this particular model as the hidden layer's activation function. It led to a model with lower validation loss and higher accuracy after 100 epochs.
Mini-batches Advantages Networks train faster (more weight updates in same amount of time) Less RAM memory required, can train on huge datasets Noise can help networks reach a lower error, escaping local minima Disadvantage More iterations need to be run Need to be adjusted, we need to find a good batch size Batch Normalization Advantages Improves gradient flow Allows higher learning rates Reduces dependence on weight initializations Acts as an unintended form of regularization Limits inter covariate shift

You’ve seen models are usually trained in batches of a fixed size. The smaller a batch size, the more weight updates per epoch, but at a cost of a more unstable gradient descent. Specially if the batch size is too small and it’s not representative of the entire training set.
Let’s see how different batch sizes affect the accuracy of a binary classification model that separates red from blue dots. You’ll use a batch size of one, updating the weights once per sample in your training set for each epoch. Then you will use the entire dataset, updating the weights only once per epoch.
| 0 | 1 | 2 | |
|---|---|---|---|
| 0 | 0.242655 | 0.038320 | 1 |
| 1 | 0.044330 | -0.056673 | 1 |
| 2 | -0.786777 | -0.757186 | 0 |
| 3 | 0.004067 | 0.131172 | 1 |
| 4 | -0.164107 | 0.150650 | 1 |
Epoch 1/5
700/700 [==============================] - 2s 3ms/step - loss: 0.6540 - accuracy: 0.5671
Epoch 2/5
700/700 [==============================] - 2s 3ms/step - loss: 0.6042 - accuracy: 0.6857
Epoch 3/5
700/700 [==============================] - 2s 3ms/step - loss: 0.5706 - accuracy: 0.7800
Epoch 4/5
700/700 [==============================] - 2s 3ms/step - loss: 0.5272 - accuracy: 0.8314
Epoch 5/5
700/700 [==============================] - 2s 3ms/step - loss: 0.4808 - accuracy: 0.8529
10/10 [==============================] - 0s 9ms/step - loss: 0.4293 - accuracy: 0.8800
The accuracy when using a batch of size 1 is: 0.8799999952316284
Epoch 1/5
1/1 [==============================] - 1s 505ms/step - loss: 0.7139 - accuracy: 0.4943
Epoch 2/5
1/1 [==============================] - 0s 10ms/step - loss: 0.7137 - accuracy: 0.4943
Epoch 3/5
1/1 [==============================] - 0s 7ms/step - loss: 0.7135 - accuracy: 0.4929
Epoch 4/5
1/1 [==============================] - 0s 8ms/step - loss: 0.7133 - accuracy: 0.4929
Epoch 5/5
1/1 [==============================] - 0s 7ms/step - loss: 0.7132 - accuracy: 0.4929
10/10 [==============================] - 0s 9ms/step - loss: 0.7075 - accuracy: 0.4767
The accuracy when using the whole training set as batch-size was: 0.476666659116745
print("\nYou can see that accuracy is lower when using a batch size equal to the training set size. This is not because the network had more trouble learning the optimization function: Even though the same number of epochs were used for both batch sizes the number of resulting weight updates was very different!. With a batch of size the training set and 5 epochs we only get 5 updates total, each update computes and averaged gradient descent with all the training set observations. To obtain similar results with this batch size we should increase the number of epochs so that more weight updates take place.")
You can see that accuracy is lower when using a batch size equal to the training set size. This is not because the network had more trouble learning the optimization function: Even though the same number of epochs were used for both batch sizes the number of resulting weight updates was very different!. With a batch of size the training set and 5 epochs we only get 5 updates total, each update computes and averaged gradient descent with all the training set observations. To obtain similar results with this batch size we should increase the number of epochs so that more weight updates take place.

A multi-class classification problem that you solved using softmax and 10 neurons in your output layer. You will now build a new deeper model consisting of 3 hidden layers of 50 neurons each, using batch normalization in between layers. The kernel_initializer parameter is used to initialize weights in a similar way.
from tensorflow.keras.layers import BatchNormalization
# Build your deep network
batchnorm_model = Sequential()
batchnorm_model.add(Dense(50, input_shape=(64, ), activation='relu', kernel_initializer='normal'))
batchnorm_model.add(BatchNormalization())
batchnorm_model.add(Dense(50, activation='relu', kernel_initializer='normal'))
batchnorm_model.add(BatchNormalization())
batchnorm_model.add(Dense(50, activation='relu', kernel_initializer='normal'))
batchnorm_model.add(BatchNormalization())
batchnorm_model.add(Dense(10, activation='softmax', kernel_initializer='normal'))
# Compile your model with sgd
batchnorm_model.compile(optimizer='sgd', loss='categorical_crossentropy', metrics=['accuracy'])Batch normalization tends to increase the learning speed of our models and make their learning curves more stable. Let’s see how two identical models with and without batch normalization compare.
The model you just built batchnorm_model is loaded for you to use. An exact copy of it without batch normalization: standard_model, is available as well.
You will compare the accuracy learning curves for both models plotting them with compare_histories_acc().
def compare_histories_acc(h1,h2):
plt.plot(h1.history['accuracy']);
plt.plot(h1.history['val_accuracy']);
plt.plot(h2.history['accuracy']);
plt.plot(h2.history['val_accuracy']);
plt.title("Batch Normalization Effects");
plt.xlabel('Epoch');
plt.ylabel('Accuracy');
plt.legend(['Train', 'Test', 'Train with Batch Normalization', 'Test with Batch Normalization'], loc='best');standard_model = Sequential()
standard_model.add(Dense(50, input_shape=(64, ), activation='relu', kernel_initializer='normal'))
standard_model.add(Dense(50, activation='relu', kernel_initializer='normal'))
standard_model.add(Dense(50, activation='relu', kernel_initializer='normal'))
standard_model.add(Dense(10, activation='softmax', kernel_initializer='normal'))
# Compile your model with sgd
standard_model.compile(optimizer='sgd', loss='categorical_crossentropy', metrics=['accuracy'])# Train your standard model, storing its history callback
h1_callback = standard_model.fit(X_train, y_train, validation_data=(X_test,y_test), epochs=10, verbose=0)
# Train the batch normalized model you recently built, store its history callback
h2_callback = batchnorm_model.fit(X_train, y_train, validation_data=(X_test,y_test), epochs=10, verbose=0)
# Call compare_histories_acc passing in both model histories
compare_histories_acc(h1_callback, h2_callback)ValueError: in user code:
File "/Users/kakamana/opt/anaconda3/lib/python3.9/site-packages/keras/engine/training.py", line 1284, in train_function *
return step_function(self, iterator)
File "/Users/kakamana/opt/anaconda3/lib/python3.9/site-packages/keras/engine/training.py", line 1268, in step_function **
outputs = model.distribute_strategy.run(run_step, args=(data,))
File "/Users/kakamana/opt/anaconda3/lib/python3.9/site-packages/keras/engine/training.py", line 1249, in run_step **
outputs = model.train_step(data)
File "/Users/kakamana/opt/anaconda3/lib/python3.9/site-packages/keras/engine/training.py", line 1050, in train_step
y_pred = self(x, training=True)
File "/Users/kakamana/opt/anaconda3/lib/python3.9/site-packages/keras/utils/traceback_utils.py", line 70, in error_handler
raise e.with_traceback(filtered_tb) from None
File "/Users/kakamana/opt/anaconda3/lib/python3.9/site-packages/keras/engine/input_spec.py", line 298, in assert_input_compatibility
raise ValueError(
ValueError: Input 0 of layer "sequential_9" is incompatible with the layer: expected shape=(None, 64), found shape=(None, 2)
ou can see that for this deep model batch normalization proved to be useful, helping the model obtain high accuracy values just over the first 10 training epochs
Preparing a model for tuning Let’s tune the hyperparameters of a binary classification model that does well classifying the breast cancer dataset.
You’ve seen that the first step to turn a model into a sklearn estimator is to build a function that creates it. The definition of this function is important since hyperparameter tuning is carried out by varying the arguments your function receives.
Build a simple create_model() function that receives both a learning rate and an activation function as arguments.
def create_model(learning_rate=0.01, activation='relu'):
# Create an Adam optimizer with the given learning rate
opt = tf.keras.optimizers.Adam(lr=learning_rate)
# Create your binary classification model
model = Sequential()
model.add(Dense(128, input_shape=(30, ), activation=activation))
model.add(Dense(256, activation=activation))
model.add(Dense(1, activation='sigmoid'))
# Compile your model with your optimizer, loss and metrics
model.compile(optimizer=opt, loss='binary_crossentropy', metrics=['accuracy'])
return modelIt’s time to try out different parameters on your model and see how well it performs!
The create_model() function you built in the previous exercise is ready for you to use.
Since fitting the RandomizedSearchCV object would take too long, the results you’d get are printed in the show_results() function. You could try random_search.fit(X,y) in the console yourself to check it does work after you have built everything else, but you will probably timeout the exercise (so copy your code first if you try this or you can lose your progress!).
You don’t need to use the optional epochs and batch_size parameters when building your KerasClassifier object since you are passing them as params to the random search and this works already.
from tensorflow.keras.wrappers.scikit_learn import KerasClassifier
from sklearn.model_selection import RandomizedSearchCV
from sklearn.model_selection import KFold
# Create a KerasClassifier
model = KerasClassifier(build_fn=create_model)
# Define the parameters to try out
params = {
'activation': ['relu', 'tanh'],
'batch_size': [32, 128, 256],
'epochs': [50, 100, 200],
'learning_rate': [0.1, 0.01, 0.001]
}
# Create a randomize search cv object passing in the parameters to try out
random_search = RandomizedSearchCV(model, param_distributions=params, cv=KFold(3))
random_search_results = random_search.fit(X, y, verbose=0)
# Print results
print("Best: {} using {}".format(random_search_results.best_score_,
random_search_results.best_params_))/var/folders/gk/g6hht_993hbcv0ffg5wyh8f00000gn/T/ipykernel_22129/3131661587.py:6: DeprecationWarning: KerasClassifier is deprecated, use Sci-Keras (https://github.com/adriangb/scikeras) instead. See https://www.adriangb.com/scikeras/stable/migration.html for help migrating.
model = KerasClassifier(build_fn=create_model)
WARNING:absl:At this time, the v2.11+ optimizer `tf.keras.optimizers.Adam` runs slowly on M1/M2 Macs, please use the legacy Keras optimizer instead, located at `tf.keras.optimizers.legacy.Adam`.
WARNING:absl:`lr` is deprecated in Keras optimizer, please use `learning_rate` or use the legacy optimizer, e.g.,tf.keras.optimizers.legacy.Adam.
WARNING:absl:There is a known slowdown when using v2.11+ Keras optimizers on M1/M2 Macs. Falling back to the legacy Keras optimizer, i.e., `tf.keras.optimizers.legacy.Adam`.
WARNING:absl:At this time, the v2.11+ optimizer `tf.keras.optimizers.Adam` runs slowly on M1/M2 Macs, please use the legacy Keras optimizer instead, located at `tf.keras.optimizers.legacy.Adam`.
WARNING:absl:`lr` is deprecated in Keras optimizer, please use `learning_rate` or use the legacy optimizer, e.g.,tf.keras.optimizers.legacy.Adam.
WARNING:absl:There is a known slowdown when using v2.11+ Keras optimizers on M1/M2 Macs. Falling back to the legacy Keras optimizer, i.e., `tf.keras.optimizers.legacy.Adam`.
WARNING:absl:At this time, the v2.11+ optimizer `tf.keras.optimizers.Adam` runs slowly on M1/M2 Macs, please use the legacy Keras optimizer instead, located at `tf.keras.optimizers.legacy.Adam`.
WARNING:absl:`lr` is deprecated in Keras optimizer, please use `learning_rate` or use the legacy optimizer, e.g.,tf.keras.optimizers.legacy.Adam.
WARNING:absl:There is a known slowdown when using v2.11+ Keras optimizers on M1/M2 Macs. Falling back to the legacy Keras optimizer, i.e., `tf.keras.optimizers.legacy.Adam`.
WARNING:absl:At this time, the v2.11+ optimizer `tf.keras.optimizers.Adam` runs slowly on M1/M2 Macs, please use the legacy Keras optimizer instead, located at `tf.keras.optimizers.legacy.Adam`.
WARNING:absl:`lr` is deprecated in Keras optimizer, please use `learning_rate` or use the legacy optimizer, e.g.,tf.keras.optimizers.legacy.Adam.
WARNING:absl:There is a known slowdown when using v2.11+ Keras optimizers on M1/M2 Macs. Falling back to the legacy Keras optimizer, i.e., `tf.keras.optimizers.legacy.Adam`.
WARNING:tensorflow:5 out of the last 14 calls to <function Model.make_test_function.<locals>.test_function at 0x3183e3f70> triggered tf.function retracing. Tracing is expensive and the excessive number of tracings could be due to (1) creating @tf.function repeatedly in a loop, (2) passing tensors with different shapes, (3) passing Python objects instead of tensors. For (1), please define your @tf.function outside of the loop. For (2), @tf.function has reduce_retracing=True option that can avoid unnecessary retracing. For (3), please refer to https://www.tensorflow.org/guide/function#controlling_retracing and https://www.tensorflow.org/api_docs/python/tf/function for more details.
WARNING:absl:At this time, the v2.11+ optimizer `tf.keras.optimizers.Adam` runs slowly on M1/M2 Macs, please use the legacy Keras optimizer instead, located at `tf.keras.optimizers.legacy.Adam`.
WARNING:absl:`lr` is deprecated in Keras optimizer, please use `learning_rate` or use the legacy optimizer, e.g.,tf.keras.optimizers.legacy.Adam.
WARNING:absl:There is a known slowdown when using v2.11+ Keras optimizers on M1/M2 Macs. Falling back to the legacy Keras optimizer, i.e., `tf.keras.optimizers.legacy.Adam`.
WARNING:tensorflow:6 out of the last 20 calls to <function Model.make_test_function.<locals>.test_function at 0x3185beaf0> triggered tf.function retracing. Tracing is expensive and the excessive number of tracings could be due to (1) creating @tf.function repeatedly in a loop, (2) passing tensors with different shapes, (3) passing Python objects instead of tensors. For (1), please define your @tf.function outside of the loop. For (2), @tf.function has reduce_retracing=True option that can avoid unnecessary retracing. For (3), please refer to https://www.tensorflow.org/guide/function#controlling_retracing and https://www.tensorflow.org/api_docs/python/tf/function for more details.
WARNING:absl:At this time, the v2.11+ optimizer `tf.keras.optimizers.Adam` runs slowly on M1/M2 Macs, please use the legacy Keras optimizer instead, located at `tf.keras.optimizers.legacy.Adam`.
WARNING:absl:`lr` is deprecated in Keras optimizer, please use `learning_rate` or use the legacy optimizer, e.g.,tf.keras.optimizers.legacy.Adam.
WARNING:absl:There is a known slowdown when using v2.11+ Keras optimizers on M1/M2 Macs. Falling back to the legacy Keras optimizer, i.e., `tf.keras.optimizers.legacy.Adam`.
WARNING:absl:At this time, the v2.11+ optimizer `tf.keras.optimizers.Adam` runs slowly on M1/M2 Macs, please use the legacy Keras optimizer instead, located at `tf.keras.optimizers.legacy.Adam`.
WARNING:absl:`lr` is deprecated in Keras optimizer, please use `learning_rate` or use the legacy optimizer, e.g.,tf.keras.optimizers.legacy.Adam.
WARNING:absl:There is a known slowdown when using v2.11+ Keras optimizers on M1/M2 Macs. Falling back to the legacy Keras optimizer, i.e., `tf.keras.optimizers.legacy.Adam`.
WARNING:absl:At this time, the v2.11+ optimizer `tf.keras.optimizers.Adam` runs slowly on M1/M2 Macs, please use the legacy Keras optimizer instead, located at `tf.keras.optimizers.legacy.Adam`.
WARNING:absl:`lr` is deprecated in Keras optimizer, please use `learning_rate` or use the legacy optimizer, e.g.,tf.keras.optimizers.legacy.Adam.
WARNING:absl:There is a known slowdown when using v2.11+ Keras optimizers on M1/M2 Macs. Falling back to the legacy Keras optimizer, i.e., `tf.keras.optimizers.legacy.Adam`.
WARNING:absl:At this time, the v2.11+ optimizer `tf.keras.optimizers.Adam` runs slowly on M1/M2 Macs, please use the legacy Keras optimizer instead, located at `tf.keras.optimizers.legacy.Adam`.
WARNING:absl:`lr` is deprecated in Keras optimizer, please use `learning_rate` or use the legacy optimizer, e.g.,tf.keras.optimizers.legacy.Adam.
WARNING:absl:There is a known slowdown when using v2.11+ Keras optimizers on M1/M2 Macs. Falling back to the legacy Keras optimizer, i.e., `tf.keras.optimizers.legacy.Adam`.
WARNING:absl:At this time, the v2.11+ optimizer `tf.keras.optimizers.Adam` runs slowly on M1/M2 Macs, please use the legacy Keras optimizer instead, located at `tf.keras.optimizers.legacy.Adam`.
WARNING:absl:`lr` is deprecated in Keras optimizer, please use `learning_rate` or use the legacy optimizer, e.g.,tf.keras.optimizers.legacy.Adam.
WARNING:absl:There is a known slowdown when using v2.11+ Keras optimizers on M1/M2 Macs. Falling back to the legacy Keras optimizer, i.e., `tf.keras.optimizers.legacy.Adam`.
WARNING:absl:At this time, the v2.11+ optimizer `tf.keras.optimizers.Adam` runs slowly on M1/M2 Macs, please use the legacy Keras optimizer instead, located at `tf.keras.optimizers.legacy.Adam`.
WARNING:absl:`lr` is deprecated in Keras optimizer, please use `learning_rate` or use the legacy optimizer, e.g.,tf.keras.optimizers.legacy.Adam.
WARNING:absl:There is a known slowdown when using v2.11+ Keras optimizers on M1/M2 Macs. Falling back to the legacy Keras optimizer, i.e., `tf.keras.optimizers.legacy.Adam`.
WARNING:absl:At this time, the v2.11+ optimizer `tf.keras.optimizers.Adam` runs slowly on M1/M2 Macs, please use the legacy Keras optimizer instead, located at `tf.keras.optimizers.legacy.Adam`.
WARNING:absl:`lr` is deprecated in Keras optimizer, please use `learning_rate` or use the legacy optimizer, e.g.,tf.keras.optimizers.legacy.Adam.
WARNING:absl:There is a known slowdown when using v2.11+ Keras optimizers on M1/M2 Macs. Falling back to the legacy Keras optimizer, i.e., `tf.keras.optimizers.legacy.Adam`.
WARNING:absl:At this time, the v2.11+ optimizer `tf.keras.optimizers.Adam` runs slowly on M1/M2 Macs, please use the legacy Keras optimizer instead, located at `tf.keras.optimizers.legacy.Adam`.
WARNING:absl:`lr` is deprecated in Keras optimizer, please use `learning_rate` or use the legacy optimizer, e.g.,tf.keras.optimizers.legacy.Adam.
WARNING:absl:There is a known slowdown when using v2.11+ Keras optimizers on M1/M2 Macs. Falling back to the legacy Keras optimizer, i.e., `tf.keras.optimizers.legacy.Adam`.
WARNING:absl:At this time, the v2.11+ optimizer `tf.keras.optimizers.Adam` runs slowly on M1/M2 Macs, please use the legacy Keras optimizer instead, located at `tf.keras.optimizers.legacy.Adam`.
WARNING:absl:`lr` is deprecated in Keras optimizer, please use `learning_rate` or use the legacy optimizer, e.g.,tf.keras.optimizers.legacy.Adam.
WARNING:absl:There is a known slowdown when using v2.11+ Keras optimizers on M1/M2 Macs. Falling back to the legacy Keras optimizer, i.e., `tf.keras.optimizers.legacy.Adam`.
WARNING:absl:At this time, the v2.11+ optimizer `tf.keras.optimizers.Adam` runs slowly on M1/M2 Macs, please use the legacy Keras optimizer instead, located at `tf.keras.optimizers.legacy.Adam`.
WARNING:absl:`lr` is deprecated in Keras optimizer, please use `learning_rate` or use the legacy optimizer, e.g.,tf.keras.optimizers.legacy.Adam.
WARNING:absl:There is a known slowdown when using v2.11+ Keras optimizers on M1/M2 Macs. Falling back to the legacy Keras optimizer, i.e., `tf.keras.optimizers.legacy.Adam`.
WARNING:absl:At this time, the v2.11+ optimizer `tf.keras.optimizers.Adam` runs slowly on M1/M2 Macs, please use the legacy Keras optimizer instead, located at `tf.keras.optimizers.legacy.Adam`.
WARNING:absl:`lr` is deprecated in Keras optimizer, please use `learning_rate` or use the legacy optimizer, e.g.,tf.keras.optimizers.legacy.Adam.
WARNING:absl:There is a known slowdown when using v2.11+ Keras optimizers on M1/M2 Macs. Falling back to the legacy Keras optimizer, i.e., `tf.keras.optimizers.legacy.Adam`.
WARNING:absl:At this time, the v2.11+ optimizer `tf.keras.optimizers.Adam` runs slowly on M1/M2 Macs, please use the legacy Keras optimizer instead, located at `tf.keras.optimizers.legacy.Adam`.
WARNING:absl:`lr` is deprecated in Keras optimizer, please use `learning_rate` or use the legacy optimizer, e.g.,tf.keras.optimizers.legacy.Adam.
WARNING:absl:There is a known slowdown when using v2.11+ Keras optimizers on M1/M2 Macs. Falling back to the legacy Keras optimizer, i.e., `tf.keras.optimizers.legacy.Adam`.
WARNING:absl:At this time, the v2.11+ optimizer `tf.keras.optimizers.Adam` runs slowly on M1/M2 Macs, please use the legacy Keras optimizer instead, located at `tf.keras.optimizers.legacy.Adam`.
WARNING:absl:`lr` is deprecated in Keras optimizer, please use `learning_rate` or use the legacy optimizer, e.g.,tf.keras.optimizers.legacy.Adam.
WARNING:absl:There is a known slowdown when using v2.11+ Keras optimizers on M1/M2 Macs. Falling back to the legacy Keras optimizer, i.e., `tf.keras.optimizers.legacy.Adam`.
WARNING:absl:At this time, the v2.11+ optimizer `tf.keras.optimizers.Adam` runs slowly on M1/M2 Macs, please use the legacy Keras optimizer instead, located at `tf.keras.optimizers.legacy.Adam`.
WARNING:absl:`lr` is deprecated in Keras optimizer, please use `learning_rate` or use the legacy optimizer, e.g.,tf.keras.optimizers.legacy.Adam.
WARNING:absl:There is a known slowdown when using v2.11+ Keras optimizers on M1/M2 Macs. Falling back to the legacy Keras optimizer, i.e., `tf.keras.optimizers.legacy.Adam`.
WARNING:absl:At this time, the v2.11+ optimizer `tf.keras.optimizers.Adam` runs slowly on M1/M2 Macs, please use the legacy Keras optimizer instead, located at `tf.keras.optimizers.legacy.Adam`.
WARNING:absl:`lr` is deprecated in Keras optimizer, please use `learning_rate` or use the legacy optimizer, e.g.,tf.keras.optimizers.legacy.Adam.
WARNING:absl:There is a known slowdown when using v2.11+ Keras optimizers on M1/M2 Macs. Falling back to the legacy Keras optimizer, i.e., `tf.keras.optimizers.legacy.Adam`.
WARNING:absl:At this time, the v2.11+ optimizer `tf.keras.optimizers.Adam` runs slowly on M1/M2 Macs, please use the legacy Keras optimizer instead, located at `tf.keras.optimizers.legacy.Adam`.
WARNING:absl:`lr` is deprecated in Keras optimizer, please use `learning_rate` or use the legacy optimizer, e.g.,tf.keras.optimizers.legacy.Adam.
WARNING:absl:There is a known slowdown when using v2.11+ Keras optimizers on M1/M2 Macs. Falling back to the legacy Keras optimizer, i.e., `tf.keras.optimizers.legacy.Adam`.
WARNING:absl:At this time, the v2.11+ optimizer `tf.keras.optimizers.Adam` runs slowly on M1/M2 Macs, please use the legacy Keras optimizer instead, located at `tf.keras.optimizers.legacy.Adam`.
WARNING:absl:`lr` is deprecated in Keras optimizer, please use `learning_rate` or use the legacy optimizer, e.g.,tf.keras.optimizers.legacy.Adam.
WARNING:absl:There is a known slowdown when using v2.11+ Keras optimizers on M1/M2 Macs. Falling back to the legacy Keras optimizer, i.e., `tf.keras.optimizers.legacy.Adam`.
WARNING:absl:At this time, the v2.11+ optimizer `tf.keras.optimizers.Adam` runs slowly on M1/M2 Macs, please use the legacy Keras optimizer instead, located at `tf.keras.optimizers.legacy.Adam`.
WARNING:absl:`lr` is deprecated in Keras optimizer, please use `learning_rate` or use the legacy optimizer, e.g.,tf.keras.optimizers.legacy.Adam.
WARNING:absl:There is a known slowdown when using v2.11+ Keras optimizers on M1/M2 Macs. Falling back to the legacy Keras optimizer, i.e., `tf.keras.optimizers.legacy.Adam`.
WARNING:absl:At this time, the v2.11+ optimizer `tf.keras.optimizers.Adam` runs slowly on M1/M2 Macs, please use the legacy Keras optimizer instead, located at `tf.keras.optimizers.legacy.Adam`.
WARNING:absl:`lr` is deprecated in Keras optimizer, please use `learning_rate` or use the legacy optimizer, e.g.,tf.keras.optimizers.legacy.Adam.
WARNING:absl:There is a known slowdown when using v2.11+ Keras optimizers on M1/M2 Macs. Falling back to the legacy Keras optimizer, i.e., `tf.keras.optimizers.legacy.Adam`.
WARNING:absl:At this time, the v2.11+ optimizer `tf.keras.optimizers.Adam` runs slowly on M1/M2 Macs, please use the legacy Keras optimizer instead, located at `tf.keras.optimizers.legacy.Adam`.
WARNING:absl:`lr` is deprecated in Keras optimizer, please use `learning_rate` or use the legacy optimizer, e.g.,tf.keras.optimizers.legacy.Adam.
WARNING:absl:There is a known slowdown when using v2.11+ Keras optimizers on M1/M2 Macs. Falling back to the legacy Keras optimizer, i.e., `tf.keras.optimizers.legacy.Adam`.
WARNING:absl:At this time, the v2.11+ optimizer `tf.keras.optimizers.Adam` runs slowly on M1/M2 Macs, please use the legacy Keras optimizer instead, located at `tf.keras.optimizers.legacy.Adam`.
WARNING:absl:`lr` is deprecated in Keras optimizer, please use `learning_rate` or use the legacy optimizer, e.g.,tf.keras.optimizers.legacy.Adam.
WARNING:absl:There is a known slowdown when using v2.11+ Keras optimizers on M1/M2 Macs. Falling back to the legacy Keras optimizer, i.e., `tf.keras.optimizers.legacy.Adam`.
WARNING:absl:At this time, the v2.11+ optimizer `tf.keras.optimizers.Adam` runs slowly on M1/M2 Macs, please use the legacy Keras optimizer instead, located at `tf.keras.optimizers.legacy.Adam`.
WARNING:absl:`lr` is deprecated in Keras optimizer, please use `learning_rate` or use the legacy optimizer, e.g.,tf.keras.optimizers.legacy.Adam.
WARNING:absl:There is a known slowdown when using v2.11+ Keras optimizers on M1/M2 Macs. Falling back to the legacy Keras optimizer, i.e., `tf.keras.optimizers.legacy.Adam`.
WARNING:absl:At this time, the v2.11+ optimizer `tf.keras.optimizers.Adam` runs slowly on M1/M2 Macs, please use the legacy Keras optimizer instead, located at `tf.keras.optimizers.legacy.Adam`.
WARNING:absl:`lr` is deprecated in Keras optimizer, please use `learning_rate` or use the legacy optimizer, e.g.,tf.keras.optimizers.legacy.Adam.
WARNING:absl:There is a known slowdown when using v2.11+ Keras optimizers on M1/M2 Macs. Falling back to the legacy Keras optimizer, i.e., `tf.keras.optimizers.legacy.Adam`.
WARNING:absl:At this time, the v2.11+ optimizer `tf.keras.optimizers.Adam` runs slowly on M1/M2 Macs, please use the legacy Keras optimizer instead, located at `tf.keras.optimizers.legacy.Adam`.
WARNING:absl:`lr` is deprecated in Keras optimizer, please use `learning_rate` or use the legacy optimizer, e.g.,tf.keras.optimizers.legacy.Adam.
WARNING:absl:There is a known slowdown when using v2.11+ Keras optimizers on M1/M2 Macs. Falling back to the legacy Keras optimizer, i.e., `tf.keras.optimizers.legacy.Adam`.
WARNING:absl:At this time, the v2.11+ optimizer `tf.keras.optimizers.Adam` runs slowly on M1/M2 Macs, please use the legacy Keras optimizer instead, located at `tf.keras.optimizers.legacy.Adam`.
WARNING:absl:`lr` is deprecated in Keras optimizer, please use `learning_rate` or use the legacy optimizer, e.g.,tf.keras.optimizers.legacy.Adam.
WARNING:absl:There is a known slowdown when using v2.11+ Keras optimizers on M1/M2 Macs. Falling back to the legacy Keras optimizer, i.e., `tf.keras.optimizers.legacy.Adam`.
WARNING:absl:At this time, the v2.11+ optimizer `tf.keras.optimizers.Adam` runs slowly on M1/M2 Macs, please use the legacy Keras optimizer instead, located at `tf.keras.optimizers.legacy.Adam`.
WARNING:absl:`lr` is deprecated in Keras optimizer, please use `learning_rate` or use the legacy optimizer, e.g.,tf.keras.optimizers.legacy.Adam.
WARNING:absl:There is a known slowdown when using v2.11+ Keras optimizers on M1/M2 Macs. Falling back to the legacy Keras optimizer, i.e., `tf.keras.optimizers.legacy.Adam`.
1/1 [==============================] - 0s 172ms/step - loss: 0.1833 - accuracy: 0.9211
1/1 [==============================] - 0s 95ms/step - loss: 0.1842 - accuracy: 0.9263
1/1 [==============================] - 0s 97ms/step - loss: 0.2332 - accuracy: 0.9153
WARNING:tensorflow:5 out of the last 14 calls to <function Model.make_test_function.<locals>.test_function at 0x3183e3f70> triggered tf.function retracing. Tracing is expensive and the excessive number of tracings could be due to (1) creating @tf.function repeatedly in a loop, (2) passing tensors with different shapes, (3) passing Python objects instead of tensors. For (1), please define your @tf.function outside of the loop. For (2), @tf.function has reduce_retracing=True option that can avoid unnecessary retracing. For (3), please refer to https://www.tensorflow.org/guide/function#controlling_retracing and https://www.tensorflow.org/api_docs/python/tf/function for more details.
6/6 [==============================] - 0s 18ms/step - loss: 0.6003 - accuracy: 0.8737
WARNING:tensorflow:6 out of the last 20 calls to <function Model.make_test_function.<locals>.test_function at 0x3185beaf0> triggered tf.function retracing. Tracing is expensive and the excessive number of tracings could be due to (1) creating @tf.function repeatedly in a loop, (2) passing tensors with different shapes, (3) passing Python objects instead of tensors. For (1), please define your @tf.function outside of the loop. For (2), @tf.function has reduce_retracing=True option that can avoid unnecessary retracing. For (3), please refer to https://www.tensorflow.org/guide/function#controlling_retracing and https://www.tensorflow.org/api_docs/python/tf/function for more details.
6/6 [==============================] - 0s 14ms/step - loss: 0.9381 - accuracy: 0.8526
6/6 [==============================] - 0s 18ms/step - loss: 0.1766 - accuracy: 0.9312
2/2 [==============================] - 0s 75ms/step - loss: 0.1991 - accuracy: 0.9105
2/2 [==============================] - 0s 76ms/step - loss: 0.1866 - accuracy: 0.9474
2/2 [==============================] - 0s 60ms/step - loss: 0.1935 - accuracy: 0.9101
2/2 [==============================] - 0s 54ms/step - loss: 0.1743 - accuracy: 0.9316
2/2 [==============================] - 0s 50ms/step - loss: 0.1432 - accuracy: 0.9474
2/2 [==============================] - 0s 68ms/step - loss: 0.1362 - accuracy: 0.9630
1/1 [==============================] - 0s 101ms/step - loss: 0.2719 - accuracy: 0.9105
1/1 [==============================] - 0s 131ms/step - loss: 0.1843 - accuracy: 0.9263
1/1 [==============================] - 0s 105ms/step - loss: 0.4219 - accuracy: 0.8730
2/2 [==============================] - 0s 73ms/step - loss: 0.1939 - accuracy: 0.9211
2/2 [==============================] - 0s 64ms/step - loss: 0.2279 - accuracy: 0.9105
2/2 [==============================] - 0s 77ms/step - loss: 0.2244 - accuracy: 0.9153
1/1 [==============================] - 0s 135ms/step - loss: 0.2112 - accuracy: 0.9316
1/1 [==============================] - 0s 134ms/step - loss: 0.1692 - accuracy: 0.9211
1/1 [==============================] - 0s 137ms/step - loss: 0.1420 - accuracy: 0.9577
6/6 [==============================] - 0s 19ms/step - loss: 0.2081 - accuracy: 0.9211
6/6 [==============================] - 0s 17ms/step - loss: 0.1688 - accuracy: 0.9316
6/6 [==============================] - 0s 20ms/step - loss: 0.1565 - accuracy: 0.9259
6/6 [==============================] - 0s 26ms/step - loss: 0.1589 - accuracy: 0.9526
6/6 [==============================] - 0s 32ms/step - loss: 0.1957 - accuracy: 0.9105
6/6 [==============================] - 0s 28ms/step - loss: 0.2499 - accuracy: 0.8942
1/1 [==============================] - 0s 185ms/step - loss: 0.2303 - accuracy: 0.9158
1/1 [==============================] - 0s 129ms/step - loss: 0.1513 - accuracy: 0.9211
1/1 [==============================] - 0s 155ms/step - loss: 0.3381 - accuracy: 0.8942
Best: 0.9473034540812174 using {'learning_rate': 0.001, 'epochs': 200, 'batch_size': 128, 'activation': 'relu'}
Time to train your model with the best parameters found: 0.01 for the learning rate, 100 epochs, a 128 batch_size and relu activations.
Use the best values found for your model when creating your KerasClassifier object so that they are used when performing cross_validation.
End this chapter by training an awesome tuned model on the breast cancer dataset!
from sklearn.model_selection import cross_val_score
# Create a KerasClassifier
model = KerasClassifier(build_fn=create_model,
epochs=100, batch_size=128, verbose=0)
# Calculate the accuracy score for each fold
kfolds = cross_val_score(model, X, y, cv=3)
# Print the mean accuracy
print('The mean accuracy was: ', kfolds.mean())
# Print the accuracy standard deviation
print('With a standard deviation of: ', kfolds.std())/var/folders/gk/g6hht_993hbcv0ffg5wyh8f00000gn/T/ipykernel_22129/1695400244.py:4: DeprecationWarning: KerasClassifier is deprecated, use Sci-Keras (https://github.com/adriangb/scikeras) instead. See https://www.adriangb.com/scikeras/stable/migration.html for help migrating.
model = KerasClassifier(build_fn=create_model,
WARNING:absl:At this time, the v2.11+ optimizer `tf.keras.optimizers.Adam` runs slowly on M1/M2 Macs, please use the legacy Keras optimizer instead, located at `tf.keras.optimizers.legacy.Adam`.
WARNING:absl:`lr` is deprecated in Keras optimizer, please use `learning_rate` or use the legacy optimizer, e.g.,tf.keras.optimizers.legacy.Adam.
WARNING:absl:There is a known slowdown when using v2.11+ Keras optimizers on M1/M2 Macs. Falling back to the legacy Keras optimizer, i.e., `tf.keras.optimizers.legacy.Adam`.
WARNING:absl:At this time, the v2.11+ optimizer `tf.keras.optimizers.Adam` runs slowly on M1/M2 Macs, please use the legacy Keras optimizer instead, located at `tf.keras.optimizers.legacy.Adam`.
WARNING:absl:`lr` is deprecated in Keras optimizer, please use `learning_rate` or use the legacy optimizer, e.g.,tf.keras.optimizers.legacy.Adam.
WARNING:absl:There is a known slowdown when using v2.11+ Keras optimizers on M1/M2 Macs. Falling back to the legacy Keras optimizer, i.e., `tf.keras.optimizers.legacy.Adam`.
WARNING:absl:At this time, the v2.11+ optimizer `tf.keras.optimizers.Adam` runs slowly on M1/M2 Macs, please use the legacy Keras optimizer instead, located at `tf.keras.optimizers.legacy.Adam`.
WARNING:absl:`lr` is deprecated in Keras optimizer, please use `learning_rate` or use the legacy optimizer, e.g.,tf.keras.optimizers.legacy.Adam.
WARNING:absl:There is a known slowdown when using v2.11+ Keras optimizers on M1/M2 Macs. Falling back to the legacy Keras optimizer, i.e., `tf.keras.optimizers.legacy.Adam`.
The mean accuracy was: 0.9121971527735392
With a standard deviation of: 0.03695947759704949